Статически определимые задачи растяжения и сжатия.

Построение эпюр N, σ, ε, w; вычисление потенциальной энергии упругой деформации U.

Как сделать заказ:
1) С любого электронного почтового адреса на почту tychina-ka@ukr.net высылается условие (расчётная схема и текст задания); указываете, какой расчёт Вам нужен - численный или аналитический;

2) Обратно на этот адрес приходит письмо с указанием стоимости заказа (каждый численный расчёт стоит 30 рублей, каждый аналитический расчёт стоит 700 рублей), оплата переводится на карту MasterCard банка Tinkoff, номер карты 5213 2439 8818 0467;

3) После оплаты счёта в течении трёх рабочих дней (для численного расчёта) или недели (для расчёта аналитического) по почте высылается результат.

 

Численный результат служит студенту для проверки правильности собственного расчёта.

Аналитический - это и есть студенческая работа.

 

Программка численного расчёта написана пока только для задач типа "стержень между двух опор"..

Примеры из конспектов:                

 

Пример A-04.                        

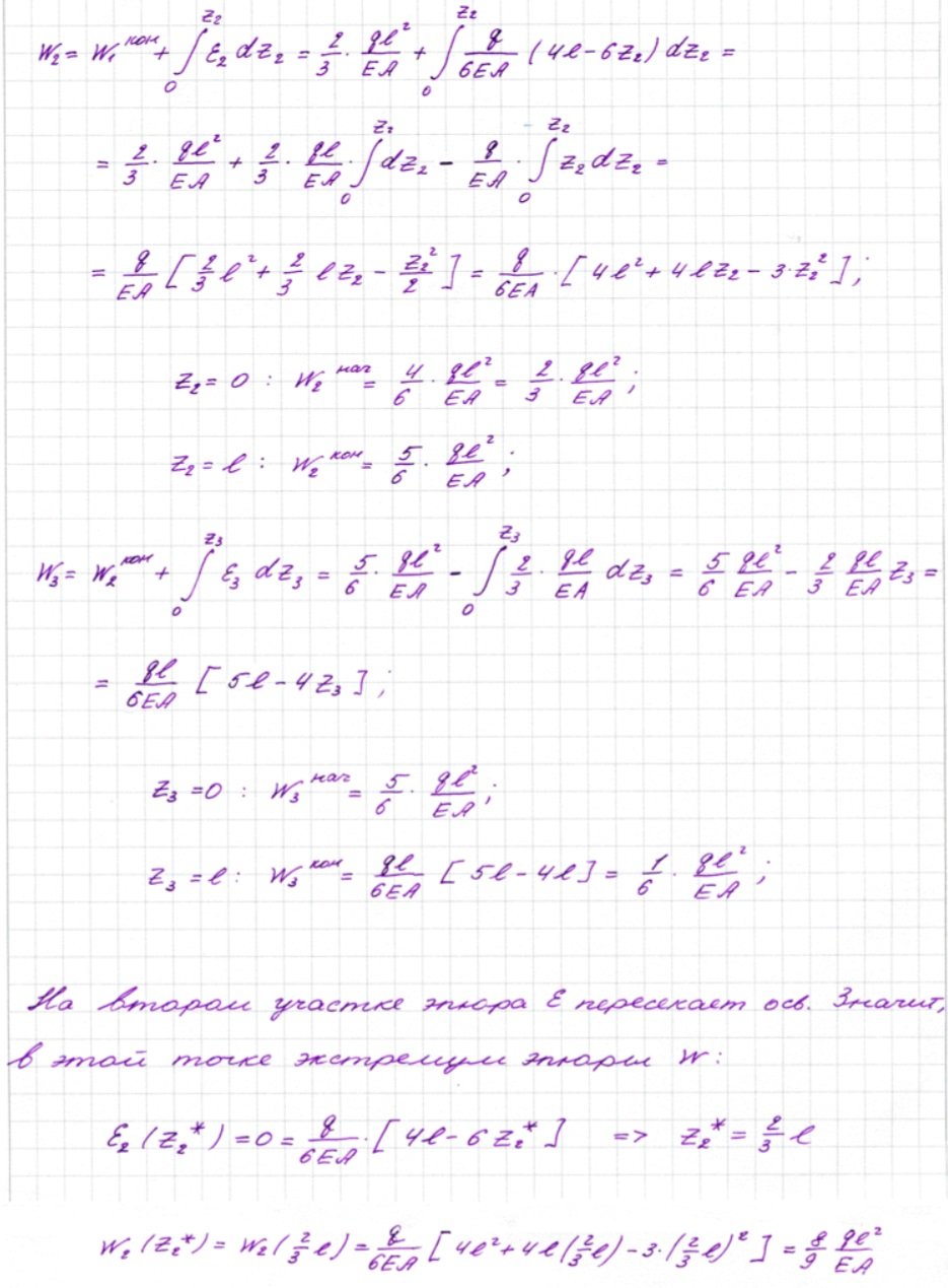
Аналитический расчёт:

Численный расчёт:


Пример A-06.         

Аналитический расчёт:

Численный расчёт:


Пример A-07.         

Аналитический расчёт:

Численный расчёт:


Пример A-09.                    

Аналитический расчёт:

Численный расчёт:


 Примеры из домашних заданий:

 

Пример 1.

Условие:

Аналитический расчёт:

Численный расчёт:


Пример 2.

Условие:

Аналитический расчёт:

Численный расчёт:


Тычина Константин Александрович (к.т.н.)

WhatsApp: +38(093)400-70-36

        Viber: +38(093)400-70-36

e-mail: tychina-ka@ukr.net

сегодня


Просмотров │ посетителей

Рейтинг@Mail.ru

Другие счётчики посетителей:

Яндекс.Метрика

© Тычина К.А.