Изгибные геометрические характеристики поперечных сечений.

 

Как сделать заказ:
1)  С любого электронного почтового адреса на почту tychina-ka@ukr.net высылается схема поперечного сечения; указываете, какой расчёт Вам нужен - численный или аналитический;

2) Обратно на этот адрес приходит письмо с указанием стоимости заказа (численный расчёт стоит 400 рублей, аналитический расчёт стоит 4000 рублей), оплата переводится на банковскую карту;

3) После оплаты счёта в течении трёх рабочих дней (для численного расчёта) или недели (для расчёта аналитического) высылается результат.

 

Численный результат служит студенту для проверки правильности собственного расчёта.

Аналитический - это и есть студенческая работа.  

Примеры из конспектов:       

 

Пример H-03.                  

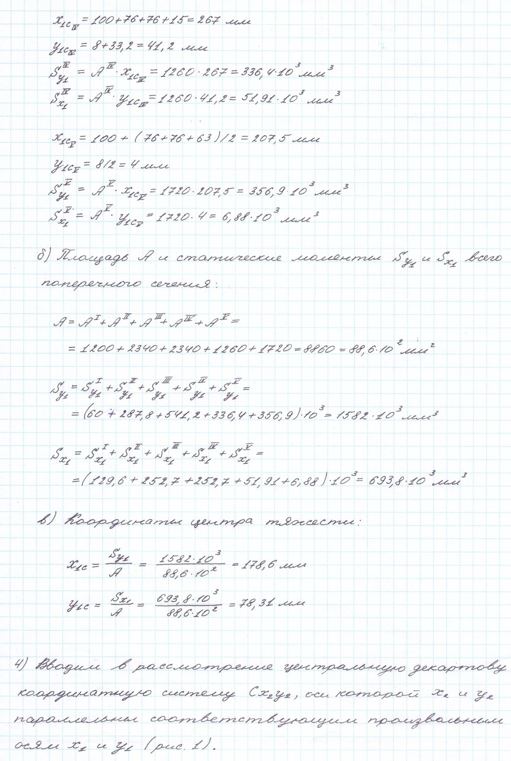
Аналитический расчёт: 

Численный расчёт:

    Первый вариант расчёта: разбить сечение на простые фигуры, их моменты инерции суммировать.

 Второй вариант расчёта: из момента инерции сплошного сечения вычесть моменты инерции вырезов..


Пример H-04.         

Аналитический расчёт: 

Численный расчёт:


Пример H-06.         

Аналитический расчёт: 

Численный расчёт:


Пример I-02.         

        Косой изгиб. Повёрнутое симметричное сечение.

Аналитический расчёт:

Численный расчёт:


Пример I-03.

        Косой изгиб. Повёрнутое симметричное сечение.

Аналитический расчёт:

Численный расчёт:


 Примеры из домашних заданий:

 

Пример 1.

Условие:

Аналитический расчёт:

Численный расчёт:


Пример 2.

Условие:

Аналитический расчёт:

Численный расчёт:


Пример 3.

Условие:

Аналитический расчёт:

Численный расчёт:


Пример 4.

Условие:

Аналитический расчёт:

Численный расчёт:


Тычина Константин Александрович (к.т.н.)

WhatsApp: +38(093)400-70-36

        Viber: +38(093)400-70-36

e-mail: tychina-ka@ukr.net

сегодня


Просмотров │ посетителей

Рейтинг@Mail.ru

Другие счётчики посетителей:

Яндекс.Метрика

© Тычина К.А.