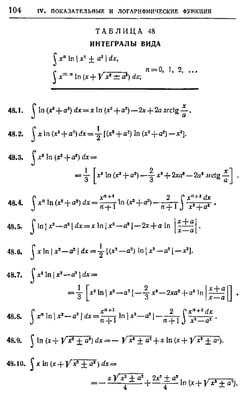
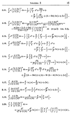
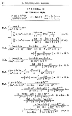
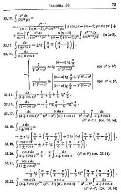
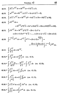
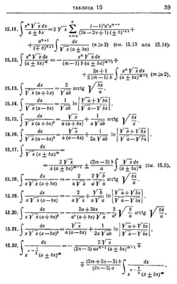
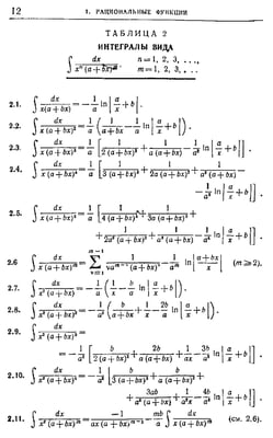
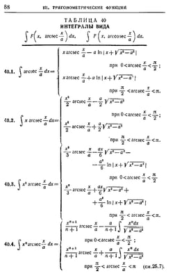
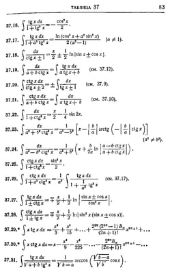
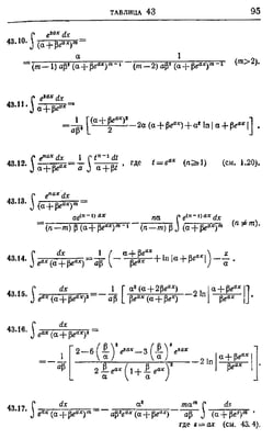
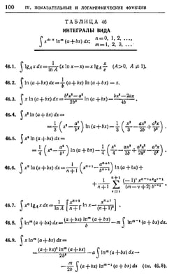
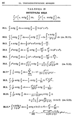
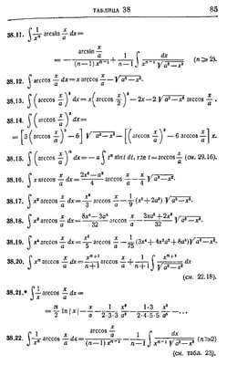
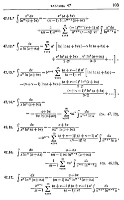
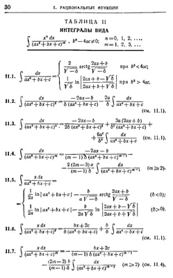
Смолянский М.Л. Таблицы неопределённых интегралов. -М.: Физматгиз, 1963 г., 112 с.
Весьма обширное собрание готовых решений.
М.Л.Смолянский Таблицы неопределённых ин
Adobe Acrobat Document 1.8 MB

Тычина Константин Александрович (к.т.н.)

WhatsApp: +38(093)400-70-36

        Viber: +38(093)400-70-36

e-mail: tychina-ka@ukr.net

сегодня


Просмотров │ посетителей

Рейтинг@Mail.ru

Другие счётчики посетителей:

Яндекс.Метрика

© Тычина К.А.